加入收藏 您好,维百奥生物为您提供专业、专心的产品和服务! | MALL-EN | 中文商城
购物指南 支付方式 配送方式 企业QQ:1877748443 电子邮箱:info@vicbio.com
咨询请直拨:136-9140-9741 / International: +86-13691409741
全国免费热线:400-001-2615
 我的询价单 会员中心
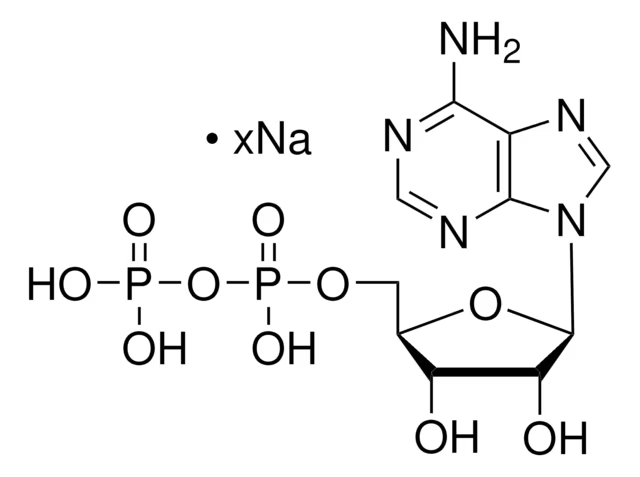
产品名称 Sigma A2754 腺苷-5′-二磷酸 钠盐 | 20398-34-9
货号: A2754 规格: 100mg;500mg;1g;5*1g
品牌: Sigma-Aldrich 价格:
产品分类: 特价奥特莱斯专区 研究领域:
CAS编号: 分子量:
分子式: 别名:
储存条件: 运输条件:
货期: 应用:
说明书: 备注:
产品描述


163.png

产品信息

品名:腺苷-5′-二磷酸 钠盐

别名:ADP钠盐, ADP

品牌:Sigma-Aldrich

货号:A2754

规格:100mg;500mg;1g;5*1g


产品描述

5′-二磷酸腺苷(ADP)是一种通过 FOF1-ATP 合酶转化为 ATP 而参与能量储存和核酸代谢的腺嘌呤核苷酸。ADP也可通过单磷酸腺苷酸(AMP)的腺苷酸激酶催化反应得到。ADP是一种血小板激动剂,由血小板致密颗粒分泌。它通过其与ADP受体P2Y1和P2Y12的相互作用影响血小板活化。ADP在通过ecto-ADP酶转化为腺苷后,通过腺苷受体抑制血小板活化。


产品属性

CAS号20398-34-9assay≥95% (HPLC)
分子式C10H15N5O10P2formpowder
分子量427.2biological sourcebacterial
storage temp.−20°Csolubilitywater: 50 mg/mL, clear to hazy, colorless


产品应用

5′-二磷酸腺苷钠盐已用作: 

● 血小板聚集的阳性对照,用聚焦仪分析纯化解聚素的抗血小板活性。 

● 制备原液以进行线粒体应激实验。 

● 流式细胞术分析中的阳性对照品,用于研究五聚体C反应蛋白(pCRP)和单体CRP(mCRP)对血小板CD62p(P-选择素)表达的影响。 

● 血小板激动剂,刺激血小板聚集。



分享到:
批量询价
相关产品
选择 产品名称 货号 规格 品牌 分类 研究领域 目录价 操作
Sigma C6905 β-酪蛋白 来源于牛奶(β-Casein from bovine milk) | 9000-71-9 C6905 250mg;1g 询价
Sigma T0625 牛磺酸(Taurine) | 107-35-7 T0625 10mg;10g;25g;100g;500g;1kg 询价
Sigma 57310 吲哚丁酸(Indole-3-butyric acid) | 133-32-4 57310 5g;25g;100g 询价
Sigma I5386 吲哚丁酸(Indole-3-butyric acid) | 133-32-4 I5386 1g;5g;25g 询价
Sigma M2069 D-(+)-甘露糖(D-(+)-Mannose) | 3458-28-4 M2069 25g;100g;100g;500g 询价
Sigma M6020 D-(+)-甘露糖(D-(+)-Mannose) | 3458-28-4 M6020 25g;100g;500g 询价