加入收藏 您好,维百奥生物为您提供专业、专心的产品和服务! | MALL-EN | 中文商城
购物指南 支付方式 配送方式 企业QQ:1877748443 电子邮箱:info@vicbio.com
咨询请直拨:136-9140-9741 / International: +86-13691409741
全国免费热线:400-001-2615
 我的询价单 会员中心
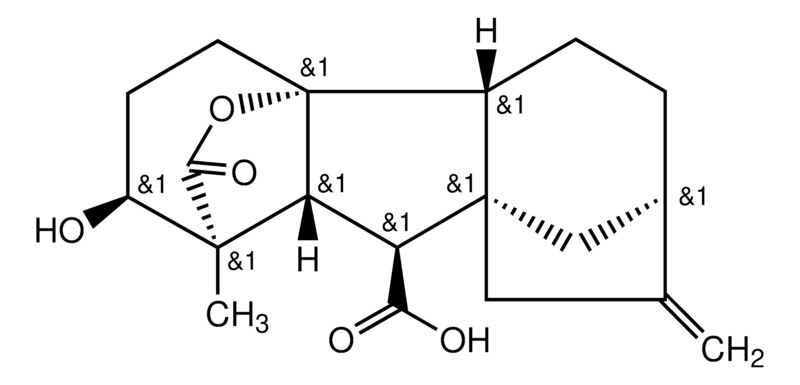
产品名称 Sigma G7276 赤霉素A4(Gibberellin A4) | 468-44-0
货号: G7276 规格: 5mg
品牌: Sigma-Aldrich 价格:
产品分类: 特价奥特莱斯专区 研究领域:
CAS编号: 分子量:
分子式: 别名:
储存条件: 运输条件:
货期: 应用:
说明书: 备注:
产品描述

101-G7276.jpg

产品信息

品名:赤霉素A4

品牌:Sigma-Aldrich

货号:G7276

规格:5mg


产品属性

CAS号468-44-0assay≥90%
分子式C19H24O5formsolid
分子量332.39technique(s)cell culture | plant: suitable
MDL numberMFCD00133363application(s)agriculture


产品应用

赤霉素 A4已被用作Murashige和Skoog(MS)培养基的补充剂,用于促进植物生长。


生化/生理作用

赤霉酸(GA)是一种促进植物细胞生长和伸长的重要植物生长激素。赤霉素可促进茎和根的快速生长,诱导有丝分裂并启动(打破休眠)并提高种子的发芽率。赤霉素还参与向重力性、张力和开花展示等过程。


分享到:
批量询价
相关产品
选择 产品名称 货号 规格 品牌 分类 研究领域 目录价 操作
Sigma C6905 β-酪蛋白 来源于牛奶(β-Casein from bovine milk) | 9000-71-9 C6905 250mg;1g 询价
Sigma T0625 牛磺酸(Taurine) | 107-35-7 T0625 10mg;10g;25g;100g;500g;1kg 询价
Sigma 57310 吲哚丁酸(Indole-3-butyric acid) | 133-32-4 57310 5g;25g;100g 询价
Sigma I5386 吲哚丁酸(Indole-3-butyric acid) | 133-32-4 I5386 1g;5g;25g 询价
Sigma M2069 D-(+)-甘露糖(D-(+)-Mannose) | 3458-28-4 M2069 25g;100g;100g;500g 询价
Sigma M6020 D-(+)-甘露糖(D-(+)-Mannose) | 3458-28-4 M6020 25g;100g;500g 询价