加入收藏 您好,维百奥生物为您提供专业、专心的产品和服务! | MALL-EN | 中文商城
购物指南 支付方式 配送方式 企业QQ:1877748443 电子邮箱:info@vicbio.com
咨询请直拨:136-9140-9741 / International: +86-13691409741
全国免费热线:400-001-2615
 我的询价单 会员中心
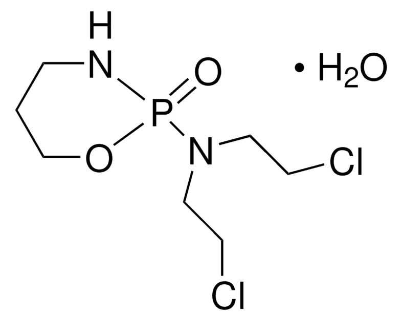
产品名称 Sigma C7397 环磷酰胺 一水合物(Cyclophosphamide monohydrate) | 6055-19-2
货号: C7397 规格: 1G
品牌: Sigma-Aldrich 价格:
产品分类: 特价奥特莱斯专区 研究领域:
CAS编号: 6055-19-2 分子量: 279.1
分子式: C7H15Cl2N2O2P · H2O 别名:
储存条件: 运输条件:
货期: 应用:
说明书: 备注:
产品描述


83-C7397.png


▍ 产品信息

品名:环磷酰胺 一水合物

别名:2-[双(2-氯乙基)氨基]四氢-2H-1,3,2-噁磷-2-氧化物, Cytoxan, 2-[Bis(2-chloroethyl)amino]tetrahydro-2H-1,3,2-oxazaphosphorine 2-oxide

货号:C7397

品牌:Sigma-Aldrich

规格:1G


▍ 产品属性

CAS号6055-19-2表单powder
分子式C7H15Cl2N2O2P · H2Omp49-51 °C (lit.)
分子量279.1储存温度2-8°C


产品应用

环磷酰胺是氮芥类烷化剂,被广泛用于抗肿瘤和抗免疫药物的作用机理研究。

广泛用于癌症化疗的细胞毒性氮芥衍生物。它可与 DNA 交联、导致链断裂并诱导突变。

环磷酰胺是一种广泛用于癌症化疗的具有细胞毒性的氮芥衍生物。它可与 DNA 交联、导致链断裂并诱导突变。其临床活性与乙醛脱氢酶 1 (ALDH1) 的活性降低相关。



分享到:
批量询价
相关产品
选择 产品名称 货号 规格 品牌 分类 研究领域 目录价 操作
Sigma C6905 β-酪蛋白 来源于牛奶(β-Casein from bovine milk) | 9000-71-9 C6905 250mg;1g 询价
Sigma T0625 牛磺酸(Taurine) | 107-35-7 T0625 10mg;10g;25g;100g;500g;1kg 询价
Sigma 57310 吲哚丁酸(Indole-3-butyric acid) | 133-32-4 57310 5g;25g;100g 询价
Sigma I5386 吲哚丁酸(Indole-3-butyric acid) | 133-32-4 I5386 1g;5g;25g 询价
Sigma M2069 D-(+)-甘露糖(D-(+)-Mannose) | 3458-28-4 M2069 25g;100g;100g;500g 询价
Sigma M6020 D-(+)-甘露糖(D-(+)-Mannose) | 3458-28-4 M6020 25g;100g;500g 询价